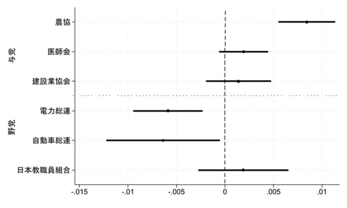
2枚目/5枚中 「農協」「医師会」「建設業協会」への「利益誘導」の実態が明らかに 国庫支出金データから分析する「組織票」を集め続ける団体の特徴とは 政治2026年01月13日 各組織内候補の得票率と国庫支出金額の関係(グラフの両極に行くほど相関関係が強い) 0